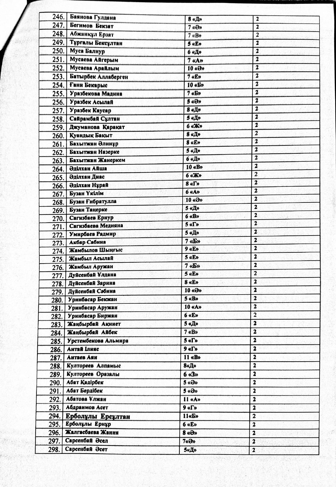
1-11 сынып оқушыларының тегін ыстық тамақпен қамтылған тізімі » СШ №55
Жамбыл облысы әкімдігінің білім басқармасы
Тараз қаласының білім бөлімінің
«№55 орта мектебі»
коммуналдық мемлекеттік мекемесі
Қабылдау бөлімі :
+7(7262) 50-19-58
Есепші бөлімі:
7(7262) 50-19-58
Нашар көрушілер
нұсқасы
» » 1-11 сынып оқушыларының тегін ыстық тамақпен қамтылған тізімі
11
сентябрь
2023

1-11 сынып оқушыларының тегін ыстық тамақпен қамтылған тізімі






























Похожие публикации:

20 ноябрь 2018 Ыстық тамақ
Прокомментировать
  • bowtiesmilelaughingblushsmileyrelaxedsmirk
    heart_eyeskissing_heartkissing_closed_eyesflushedrelievedsatisfiedgrin
    winkstuck_out_tongue_winking_eyestuck_out_tongue_closed_eyesgrinningkissingstuck_out_tonguesleeping
    worriedfrowninganguishedopen_mouthgrimacingconfusedhushed
    expressionlessunamusedsweat_smilesweatdisappointed_relievedwearypensive
    disappointedconfoundedfearfulcold_sweatperseverecrysob
    joyastonishedscreamtired_faceangryragetriumph
    sleepyyummasksunglassesdizzy_faceimpsmiling_imp
    neutral_faceno_mouthinnocent
Введите код с картинки:* Кликните на изображение чтобы обновить код, если он неразборчив